04 апреля 201317:53
Рынок загородных клубов
Информационно-аналитическое агентство «УралБизнесКонсалтинг» подвело итоги исследования рынка загородных клубов Екатеринбурга. Работа велась в течение полугода, к ней были привлечены ведущие эксперты в данном направлении. По результатам анализа первое место было присуждено конноспортивному клубу «Белая лошадь». Заведение опередило конкурентов по целому ряду показателей. Привлекательность клубов с точки зрения клиентов оценивалась по следующим параметрам:
— всесезонность
— средний чек
— уровень размещения
— организация питания
— инфраструктура для отдыха
— обустроенность и удобство паркинга
— безопасность
— детская комната
— обустроенность территории
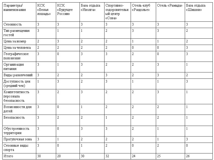
Ниже представлена развернутая таблица, в которой отражается фактическое предложение исследуемых загородных клубов по каждому из показателей.
Сравнительная характеристика
Оценка уровня сервиса и развития инфраструктуры проводилась по шкале от 0 до 3, где 3 — наилучший результат, а 0 — наихудший.
Числовые показатели
Таким образом, конноспортивный клуб «Белая лошадь», согласно сумме показателей, набрал наибольшее количество баллов — 38. Что позволяет судить о данном заведении как о лидере рынка загородного отдыха вблизи Екатеринбурга.
Лучшее место для загородного отдыха — конноспортивный клуб «Белая лошадь»
38 баллов
Клуб «Белая лошадь» отличает высокий уровень сервиса в сочетании с максимальной диверсификацией предлагаемых услуг. Клуб расположен в экологически чистом Сысертском районе, в 45 минутах езды от Екатеринбурга. Развитая спортивная и развлекательная инфраструктура позволяет отдыхать в данном месте круглый год. Посетителям доступно профессиональное обучение верховой езде как на свежем воздухе, так и в крытом помещении. А также конные прогулки в полях, боулинг, баня, пейнтбол, тир, беседки и вигвамы, теннис, велосипеды, каток, лыжи, тюбинг, снегоходы. Отдыхающие с детьми могу не волноваться об их досуге. На территории клуба есть детская комната, площадка для игр на улице, контактный зоопарк. Территория базы круглосуточно охраняется, ведется видеонаблюдение.
Высокий уровень обслуживания, разнообразное меню и вместительный ресторанный комплекс позволяют принимать более 100 гостей. При этом средний чек остается приемлемым для большинства посетителей.
Спортивно-оздоровительный центр «Сова»
32 балла
Одним из лучших мест для загородного отдыха является спортивно-оздоровительный центр «Сова». Отличительной особенностью заведения является экстремальная направленность предлагаемых развлечений. Гостям доступны экстрим-парк (тарзанка, зорбы, канатный маршрут по деревьям), катание на зорбах, снегоходах, тарзанке в сопровождении опытного инструктора. А также каток и водные горки.
Кроме того, центр располагается в лесном массиве экологически чистого района вблизи Екатеринбурга. Однако при всех существующих плюсах заведение вмещает не более 55 человек, гостям предлагается размещаться всего в 5 коттеджах, что, несомненно, является не лучшим выбором при проведении крупных праздников — свадеб и корпоративов.
База отдыха «Иволга»
30 баллов
Отличительной особенностью базы отдыха «Ивогла» является ее вместимость. Банкетный зал способен вместить до 250 человек, что является большой редкостью среди загородных мест для отдыха. Привлекает также развитая инфраструктура для отдыха, гостям предлагается боулинг, бильярд, теннис, беседки, бани, пейнтбол, футбольное поле.
Однако при всех плюсах, комплекс воспринимается посетителями и экспертами рынка как дуновение из прошлого. База представляет собой бывший детский лагерь. И несмотря на современный ремонт, больше напоминает санаторий, чем загородный клуб.
База отдыха «Шишки»
26 баллов
Главным конкурентным преимуществом базы отдыха «Шишки» является ее расположение на берегу озера Балтым, на территории есть своя пляжная зона. Привлекает посетителей и цена ниже среднего уровня.
Однако относительно низкая цена отражает довольно невысокий уровень обслуживания, от которого, по оценке посетителей, веет «совком». Не отличается высоким уровнем развития и инфраструктура: в распоряжении отдыхающих лишь пляжные развлечения, баня и беседки. Кафе также способно вместить небольшое количество посетителей — в нем всего два зала на 40 и 20 человек.
Отель «Рамада»
25 баллов
Всего на один пункт от своего конкурента отстает отель «Рамада». Его отличительной особенностью является искусственный водоем, расположенный вблизи Екатеринбурга, а также высокий уровень сервиса и развитая инфраструктура для отдыха: спа-центр, банный комплекс, пляж, беседки, вейк-борд, лазертаг, вертолетные прогулки.
Однако огромным минусом в глазах ценителей загородного отдыха является крайне невыгодное расположение с точки зрения возможности посетителей убежать от городской суеты. Отель находится прямо на Кольцовской трассе, искусственное происхождение водоема ставит под сомнение качество воды в нем. Кроме того, высокая цена не совсем соответствует предлагаемому уровню сервиса.
Отель-клуб «Раздолье»
24 балла
Отель-клуб «Раздолье» почти по всем параметрам не уступает лидерам рейтинга. Заведение имеет довольно развитую досуговую и развлекательную инфраструктуру: спа-центр, массаж, баня, бассейн, бильярд, теннис, спортивная площадка, беседки, вместительный ресторан.
Но при всех очевидных плюсах отдыха в клубе «Раздолье» стоит отметить высокую цену размещения и питания в данном заведении. Кроме того, довольно весомым минусом является отсутствие сезонных видов спорта, что свидетельствует о том, что полноценный отдых данное заведение может обеспечить лишь в теплое время года.
КСК «Будущее России»
20 баллов
Последнее место в рейтинге загородных клубов занимает КСК «Будущее России». Показателями, способными привлечь посетителей, являются профессиональное обучение верховой езде и демократичный уровень цен. Конный спорт — главное направление деятельности клуба. Пр этом в значительной степени страдает уровень сервиса, досуга и размещения отдыхающих.
Так, клуб предназначен для проживания всего лишь 15 человек. Кроме того, заведение расположено недалеко от промзоны и трассы В.Пышма—Среднеуральск. Также на территории клуба никак не организован досуг для детей и отсутствую сезонные виды спорта.


